Discounted Cashflow Verfahren

Das Discounted Cashflow Verfahren oder aber die Abzinsung von Zahlungsströmen der Zukunft.

Die Gründe, die zu Immobilieninvestments führen sind vielfältig – ob im kleinen oder großen Stil – eine Investition in Immobilienwerte sollte gut überlegt sein.

Häufig ermitteln Investoren mit Hilfe des Discounted Cashflow Verfahrens das Potential und das Risikos einer Immobilie, um ihre Investitionsentscheidung zu rechtfertigen.

Vom Grundsatz ist das Discounted Cashflow Verfahren eine Prognose. Es betrachtet die zukünftigen Geldflüsse aus einem Grundstücks, vom Wertermittlungsstichtag aus gesehen. In Zeitscheiben wird der Geldfluss untersucht und für jede Zeitscheibe ein Ertragswert berechnet. Die einzelnen Ertragswerte der jeweiligen Zeitscheibe werden auf den Wertermittlungsstichtag diskontiert (abgezinst) und addiert.

Seine Stärken hat das Discounted Cashflow Verfahren, wenn es darum geht, aus Sicht eines Investors, den Wert einer Immobilie, im Vergleich zu anderen Kapitalanlagen, auf Grundlage vorgegebener Ertragserwartungen und Zinsaufwendungen zu ermitteln. Da es sich hier nur um ein Prognoseverfahren handelt, liegt seine Schwäche den Marktwert (Verkehrswert) einer Immobilie zu ermitteln. Vor diesem Hintergrund ist die Aussagekraft des Discounted Cashflow Verfahrens immer aus dem Blickwinkel des jeweiligen Investors zu sehen.

Da die immobilienwirtschaftliche Entwicklung einer Immobilie meistens nicht über ihre gesamte wirtschaftliche Restnutzungsdauer vorhersehbar ist, beschränkt sich das Discounted Cashflow Verfahren i. d. R. auf einen Prognosezeitraum von 10 Jahren. Auch wenn erfahrungsgemäß Prognosen, die sich über einen längeren Zeitraum erstrecken, immer ungenauer werden. Dennoch ist ein Zeitraum von 10 Jahren für viele Investoren ein überschaubarer Betrachtungszeitraum.

Nach Ablauf des Betrachtungszeitraums (z. B. 10 Jahre) ist die bauliche Anlage, im Normalfall, wirtschaftlich noch nicht verbraucht; d. h. im Jahr 10 ergibt sich bei dieser Vorgehensweise ein sog. Restwert, der im gewöhnlichen Geschäftsverkehr als erzielbarer Verkehrswert des Gesamtgrundstücks anzusehen ist.

Es gibt verschiedene Varianten des Discounted Cashflow Verfahrens, die sich im Wesentlichen bei der Berechnung des Restwertes unterscheiden.

Beispielrechnung – Discounted Cashflow Verfahren

Das hier aufgeführte Beispiel DCF-Verfahren geht von einer ewigen Verzinsung des Restwertes aus und berücksichtigt den Bodenwert nicht. Diese Betrachtung setzt eine ewige Nutzung der Immobilie voraus. Weiter wird davon ausgegangen, dass nach einer Periode von 10 Jahren, für die zukünftigen Perioden die gleiche Verzinsung erwartet wird. – Dies entspricht einem Halten der Immobilie über die gesamte Nutzungsdauer. Außerdem bietet diese Variante den weiteren Vorteil, dass variable Reinerträge, z. B. durch Mietsteigerungen, berücksichtigt werden können.

Der Resterlös ergibt sich aus dem kapitalisierten Reinertrag des letzten Jahres (n-ten Jahr bzw. 10. Jahr).

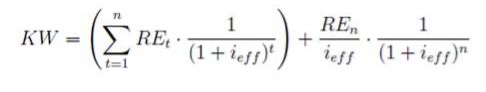
Der Kapitalwert einer Immobilie ermittelt sich in dieser Variante wie folgt:

KW = Kapitalwert bzw. Verkehrswert

RE = Reinertrag

ieff = Effektivverzinsung

n   = 10 Jahre

Eingangsparameter für das angewendete Discounted Cashflow-Verfahren:

Inflationsrate:

Die mittlere Inflationsrate in Deutschland für 2012.

Effektivverzinsung:

  1. a)     Diskontierungszinssatz:

Rendite, die ein Investor von seiner Kapitalanlage über 10 Jahre erwartet (der Zinssatz ergibt sich aus den Umlaufrenditen langfristigen Staatsanleihen zzgl. einem Risikozuschlag).

  1. b)     Exit Cap Rate:

interner Zinsfuß oder Liegenschaftszinssatz, bei dem der Kapitalwert Null wird. Bei dem gewählten DCF-Verfahren (ohne Bodenwert und mit ewiger Verzinsung) entspricht die Exit Cap Rate dem Diskontierungszinssatz.

Verkaufsnebenkosten:

Positionen wie Grunderwerbssteuer und Notargebühren.

Bewirtschaftungskosten:

Bewirtschaftungskosten sind die, für eine ordnungsgemäße Bewirtschaftung und zulässige Nutzung, marktüblichen jährlichen Aufwendungen. Sie gliedern sich wie folgt:

  1. a)   Mietausfallwagnis
  2. b)   Verwaltungskosten
  3. c)   Kosten für Instandhaltung und Modernisierung

Jahresrohertrag:

Marktüblich erzielbare Erträge unter der Voraussetzung einer ordnungsgemäßen Bewirtschaftung und einer zulässigen Nutzung.

Jahresreinertrag:

Der Jahresreinertrag ergibt sich aus dem Jahresrohertrag abzüglich der Bewirtschaftungskosten.

jährliche Mietsteigerungsrate:

Im Rahmen der Prognose wird von einer jährlichen Mietsteigerung von 2 % ausgegangen.

 

Das Discounted Cashflow Verfahren oder aber die Abzinsung von Zahlungsströmen der Zukunft.

Die Gründe, die zu Immobilieninvestments führen sind vielfältig – ob im kleinen oder großen Stil – eine Investition in Immobilienwerte sollte gut überlegt sein.

Häufig ermitteln Investoren mit Hilfe des Discounted Cashflow Verfahrens das Potential und das Risikos einer Immobilie, um ihre Investitionsentscheidung zu rechtfertigen.

Vom Grundsatz ist das Discounted Cashflow Verfahren eine Prognose. Es betrachtet die zukünftigen Geldflüsse aus einem Grundstücks, vom Wertermittlungsstichtag aus gesehen. In Zeitscheiben wird der Geldfluss untersucht und für jede Zeitscheibe ein Ertragswert berechnet. Die einzelnen Ertragswerte der jeweiligen Zeitscheibe werden auf den Wertermittlungsstichtag diskontiert (abgezinst) und addiert.

Seine Stärken hat das Discounted Cashflow Verfahren, wenn es darum geht, aus Sicht eines Investors, den Wert einer Immobilie, im Vergleich zu anderen Kapitalanlagen, auf Grundlage vorgegebener Ertragserwartungen und Zinsaufwendungen zu ermitteln. Da es sich hier nur um ein Prognoseverfahren handelt, liegt seine Schwäche den Marktwert (Verkehrswert) einer Immobilie zu ermitteln. Vor diesem Hintergrund ist die Aussagekraft des Discounted Cashflow Verfahrens immer aus dem Blickwinkel des jeweiligen Investors zu sehen.

Da die immobilienwirtschaftliche Entwicklung einer Immobilie meistens nicht über ihre gesamte wirtschaftliche Restnutzungsdauer vorhersehbar ist, beschränkt sich das Discounted Cashflow Verfahren i. d. R. auf einen Prognosezeitraum von 10 Jahren. Auch wenn erfahrungsgemäß Prognosen, die sich über einen längeren Zeitraum erstrecken, immer ungenauer werden. Dennoch ist ein Zeitraum von 10 Jahren für viele Investoren ein überschaubarer Betrachtungszeitraum.

Nach Ablauf des Betrachtungszeitraums (z. B. 10 Jahre) ist die bauliche Anlage, im Normalfall, wirtschaftlich noch nicht verbraucht; d. h. im Jahr 10 ergibt sich bei dieser Vorgehensweise ein sog. Restwert, der im gewöhnlichen Geschäftsverkehr als erzielbarer Verkehrswert des Gesamtgrundstücks anzusehen ist.

Es gibt verschiedene Varianten des Discounted Cashflow Verfahrens, die sich im Wesentlichen bei der Berechnung des Restwertes unterscheiden.

Beispielrechnung – Discounted Cashflow Verfahren

Das hier aufgeführte Beispiel DCF-Verfahren geht von einer ewigen Verzinsung des Restwertes aus und berücksichtigt den Bodenwert nicht. Diese Betrachtung setzt eine ewige Nutzung der Immobilie voraus. Weiter wird davon ausgegangen, dass nach einer Periode von 10 Jahren, für die zukünftigen Perioden die gleiche Verzinsung erwartet wird. – Dies entspricht einem Halten der Immobilie über die gesamte Nutzungsdauer. Außerdem bietet diese Variante den weiteren Vorteil, dass variable Reinerträge, z. B. durch Mietsteigerungen, berücksichtigt werden können.

Der Resterlös ergibt sich aus dem kapitalisierten Reinertrag des letzten Jahres (n-ten Jahr bzw. 10. Jahr).

Der Kapitalwert einer Immobilie ermittelt sich in dieser Variante wie folgt:

KW = Kapitalwert bzw. Verkehrswert

RE = Reinertrag

ieff = Effektivverzinsung

n   = 10 Jahre

Eingangsparameter für das angewendete Discounted Cashflow-Verfahren:

Inflationsrate:

Die mittlere Inflationsrate in Deutschland für 2012.

Effektivverzinsung:

  1. a)     Diskontierungszinssatz:

Rendite, die ein Investor von seiner Kapitalanlage über 10 Jahre erwartet (der Zinssatz ergibt sich aus den Umlaufrenditen langfristigen Staatsanleihen zzgl. einem Risikozuschlag).

  1. b)     Exit Cap Rate:

interner Zinsfuß oder Liegenschaftszinssatz, bei dem der Kapitalwert Null wird. Bei dem gewählten DCF-Verfahren (ohne Bodenwert und mit ewiger Verzinsung) entspricht die Exit Cap Rate dem Diskontierungszinssatz.

Verkaufsnebenkosten:

Positionen wie Grunderwerbssteuer und Notargebühren.

Bewirtschaftungskosten:

Bewirtschaftungskosten sind die, für eine ordnungsgemäße Bewirtschaftung und zulässige Nutzung, marktüblichen jährlichen Aufwendungen. Sie gliedern sich wie folgt:

  1. a)   Mietausfallwagnis
  2. b)   Verwaltungskosten
  3. c)   Kosten für Instandhaltung und Modernisierung

Jahresrohertrag:

Marktüblich erzielbare Erträge unter der Voraussetzung einer ordnungsgemäßen Bewirtschaftung und einer zulässigen Nutzung.

Jahresreinertrag:

Der Jahresreinertrag ergibt sich aus dem Jahresrohertrag abzüglich der Bewirtschaftungskosten.

jährliche Mietsteigerungsrate:

Im Rahmen der Prognose wird von einer jährlichen Mietsteigerung von 2 % ausgegangen.

 

Das Discounted Cashflow Verfahren oder aber die Abzinsung von Zahlungsströmen der Zukunft.

Die Gründe, die zu Immobilieninvestments führen sind vielfältig – ob im kleinen oder großen Stil – eine Investition in Immobilienwerte sollte gut überlegt sein.

Häufig ermitteln Investoren mit Hilfe des Discounted Cashflow Verfahrens das Potential und das Risikos einer Immobilie, um ihre Investitionsentscheidung zu rechtfertigen.

Vom Grundsatz ist das Discounted Cashflow Verfahren eine Prognose. Es betrachtet die zukünftigen Geldflüsse aus einem Grundstücks, vom Wertermittlungsstichtag aus gesehen. In Zeitscheiben wird der Geldfluss untersucht und für jede Zeitscheibe ein Ertragswert berechnet. Die einzelnen Ertragswerte der jeweiligen Zeitscheibe werden auf den Wertermittlungsstichtag diskontiert (abgezinst) und addiert.

Seine Stärken hat das Discounted Cashflow Verfahren, wenn es darum geht, aus Sicht eines Investors, den Wert einer Immobilie, im Vergleich zu anderen Kapitalanlagen, auf Grundlage vorgegebener Ertragserwartungen und Zinsaufwendungen zu ermitteln. Da es sich hier nur um ein Prognoseverfahren handelt, liegt seine Schwäche den Marktwert (Verkehrswert) einer Immobilie zu ermitteln. Vor diesem Hintergrund ist die Aussagekraft des Discounted Cashflow Verfahrens immer aus dem Blickwinkel des jeweiligen Investors zu sehen.

Da die immobilienwirtschaftliche Entwicklung einer Immobilie meistens nicht über ihre gesamte wirtschaftliche Restnutzungsdauer vorhersehbar ist, beschränkt sich das Discounted Cashflow Verfahren i. d. R. auf einen Prognosezeitraum von 10 Jahren. Auch wenn erfahrungsgemäß Prognosen, die sich über einen längeren Zeitraum erstrecken, immer ungenauer werden. Dennoch ist ein Zeitraum von 10 Jahren für viele Investoren ein überschaubarer Betrachtungszeitraum.

Nach Ablauf des Betrachtungszeitraums (z. B. 10 Jahre) ist die bauliche Anlage, im Normalfall, wirtschaftlich noch nicht verbraucht; d. h. im Jahr 10 ergibt sich bei dieser Vorgehensweise ein sog. Restwert, der im gewöhnlichen Geschäftsverkehr als erzielbarer Verkehrswert des Gesamtgrundstücks anzusehen ist.

Es gibt verschiedene Varianten des Discounted Cashflow Verfahrens, die sich im Wesentlichen bei der Berechnung des Restwertes unterscheiden.

Beispielrechnung – Discounted Cashflow Verfahren

Das hier aufgeführte Beispiel DCF-Verfahren geht von einer ewigen Verzinsung des Restwertes aus und berücksichtigt den Bodenwert nicht. Diese Betrachtung setzt eine ewige Nutzung der Immobilie voraus. Weiter wird davon ausgegangen, dass nach einer Periode von 10 Jahren, für die zukünftigen Perioden die gleiche Verzinsung erwartet wird. – Dies entspricht einem Halten der Immobilie über die gesamte Nutzungsdauer. Außerdem bietet diese Variante den weiteren Vorteil, dass variable Reinerträge, z. B. durch Mietsteigerungen, berücksichtigt werden können.

Der Resterlös ergibt sich aus dem kapitalisierten Reinertrag des letzten Jahres (n-ten Jahr bzw. 10. Jahr).

Der Kapitalwert einer Immobilie ermittelt sich in dieser Variante wie folgt:

KW = Kapitalwert bzw. Verkehrswert

RE = Reinertrag

ieff = Effektivverzinsung

n   = 10 Jahre

Eingangsparameter für das angewendete Discounted Cashflow-Verfahren:

Inflationsrate:

Die mittlere Inflationsrate in Deutschland für 2012.

Effektivverzinsung:

  1. a)     Diskontierungszinssatz:

Rendite, die ein Investor von seiner Kapitalanlage über 10 Jahre erwartet (der Zinssatz ergibt sich aus den Umlaufrenditen langfristigen Staatsanleihen zzgl. einem Risikozuschlag).

  1. b)     Exit Cap Rate:

interner Zinsfuß oder Liegenschaftszinssatz, bei dem der Kapitalwert Null wird. Bei dem gewählten DCF-Verfahren (ohne Bodenwert und mit ewiger Verzinsung) entspricht die Exit Cap Rate dem Diskontierungszinssatz.

Verkaufsnebenkosten:

Positionen wie Grunderwerbssteuer und Notargebühren.

Bewirtschaftungskosten:

Bewirtschaftungskosten sind die, für eine ordnungsgemäße Bewirtschaftung und zulässige Nutzung, marktüblichen jährlichen Aufwendungen. Sie gliedern sich wie folgt:

  1. a)   Mietausfallwagnis
  2. b)   Verwaltungskosten
  3. c)   Kosten für Instandhaltung und Modernisierung

Jahresrohertrag:

Marktüblich erzielbare Erträge unter der Voraussetzung einer ordnungsgemäßen Bewirtschaftung und einer zulässigen Nutzung.

Jahresreinertrag:

Der Jahresreinertrag ergibt sich aus dem Jahresrohertrag abzüglich der Bewirtschaftungskosten.

jährliche Mietsteigerungsrate:

Im Rahmen der Prognose wird von einer jährlichen Mietsteigerung von 2 % ausgegangen.

 

Autorin

Sibylle Haas

Sibylle Haas ist gem. DIN EN ISO/IEC zert. Sachverständige für die Marktwertermittlung von Wohn- und Gewerbeimmobilien sowie von der DEKRA zert. Sachverständige für die Immobilienbewertung D3 und erstellt mit ihrem Sachverständigenbüro, DIE IMMOBILIENGUTACHTERIN, Verkehrswertgutachten im Großraum Köln, Bergisch Gladbach und Leverkusen.